新股定價 | 紫金黃金國際每股定價71.59港元,公開發售超購近240倍,一手中籤率50%
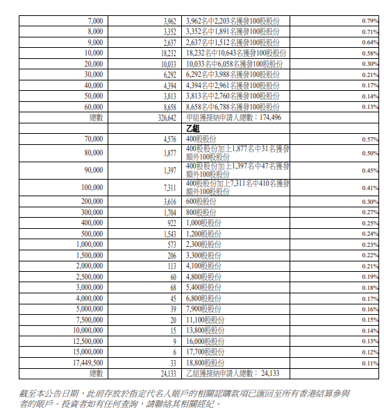
由紫金礦業(02899.HK) 分拆的紫金黃金國際(02259.HK)公佈招股結果,香港公開發售接獲240.74倍認購,一手(100股)中籤率50%。國際發售錄得20.38倍認購。
最終發售價爲每股71.59港元,全球發售淨籌約244.7億港元。股份預期今日(30日)上市。


免責聲明:本網站提供的資訊僅供教育和參考之用,不應視為財務或投資建議。
由紫金礦業(02899.HK) 分拆的紫金黃金國際(02259.HK)公佈招股結果,香港公開發售接獲240.74倍認購,一手(100股)中籤率50%。國際發售錄得20.38倍認購。
最終發售價爲每股71.59港元,全球發售淨籌約244.7億港元。股份預期今日(30日)上市。

